จำนวนจริง
การแยกตัวประกอบ
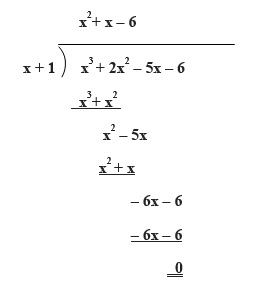
จงแยกตัวประกอบของ x3+ 2x2– 5x – 6
วิธีทำ
จำนวนเต็มที่หาร –
6 ลงตัว คือ ±1, ±2, ±3,
±6
หา p(c) = 0
จะได้ p(–1) = (–1)3+
2(–1)2– 5(–1) – 6
ดังนั้น x + 1 เป็นตัวประกอบของ x3+ 2x2– 5x – 6
![]()
จะได้
x3+ 2x2– 5x – 6 = (x + 1)(x2+
x – 6)
ดังนั้น x3+ 2x2– 5x –
6 = (x – 1)(x – 2)(x + 3)
ฝึกสมอง ลองความไว กับแอป QMath เล่นง่าย สนุกกับการเรียนรู้ สามารถดาวน์โหลดแอปได้ที่ลิงค์ด้านล่างเลยนะคะ
https://play.google.com/store/apps/details?id=com.pro45.qmath


ความคิดเห็น
แสดงความคิดเห็น